Updated Feb 18, 2025 8:44 AM PST
Physicists are challenging long-held beliefs about time, suggesting it may not be a fundamental aspect of reality but rather an illusion emerging from quantum entanglement.A recent study, published in Physical Review A, proposes that the nature of time could be explained through the Page and Wootters (PaW) mechanism, a framework developed in 1983 that treats time as a quantum observable.
One of the biggest obstacles in physics is the inconsistency of time in quantum mechanics and general relativity. In quantum mechanics, time is an external and unchanging parameter. It does not exist within the quantum system itself but is instead measured through interactions with external entities. This creates a paradox: how can time govern quantum evolution if it is not a true observable?Meanwhile, general relativity treats time as a dimension interwoven with space, influenced by gravity and motion. This means time can stretch and contract, leading to phenomena like time dilation near massive objects. The mismatch between these two descriptions has been called the "problem of time," a challenge that prevents physicists from developing a unified "theory of everything."

The contour plot of the marginal probability distribution related to |𝛽|2 with respect to the evolving system phase-space coordinates. (CREDIT: Physical Review A)
Physicist Alessandro Coppo, from the National Research Council of Italy, explains the dilemma: “It seems there is a serious inconsistency in quantum theory. This is what we call the problem of time.”
Physicist Alessandro Coppo, from the National Research Council of Italy, explains the dilemma: “It seems there is a serious inconsistency in quantum theory. This is what we call the problem of time.”
The Page and Wootters Mechanism
To resolve this inconsistency, researchers revisited the PaW mechanism. This theory suggests that time emerges not as an independent entity but through quantum entanglement between two systems: a clock and the evolving system it measures. In a system without entanglement, time ceases to exist, leaving the universe in a frozen state.The researchers tested this theory by simulating two non-interacting but entangled quantum systems: a vibrating harmonic oscillator and a set of tiny magnets functioning as a clock. They found that the system’s behavior aligned with the Schrödinger equation, a fundamental equation in quantum mechanics. The oscillator’s evolution was dictated not by an external time parameter but by the quantum state of the clock.
This idea presents a radical shift in perspective: time is not an independent background parameter but a property emerging from entanglement.
Bridging the Quantum-Classical Divide
The researchers took their study further, applying the PaW mechanism to larger, macroscopic systems. By assuming that either the magnet clock or the harmonic oscillator was a classical object, they found that their equations naturally simplified into those used in classical physics. This suggests that the classical flow of time emerges from entanglement, even at larger scales.“We strongly believe that the correct and logical direction is to start from quantum physics and understand how to reach classical physics, not the other way around,” Coppo said.
This finding supports the idea that classical physics emerges from quantum mechanics rather than existing as a separate framework. It also suggests that time itself may not be fundamental but instead a byproduct of quantum correlations.

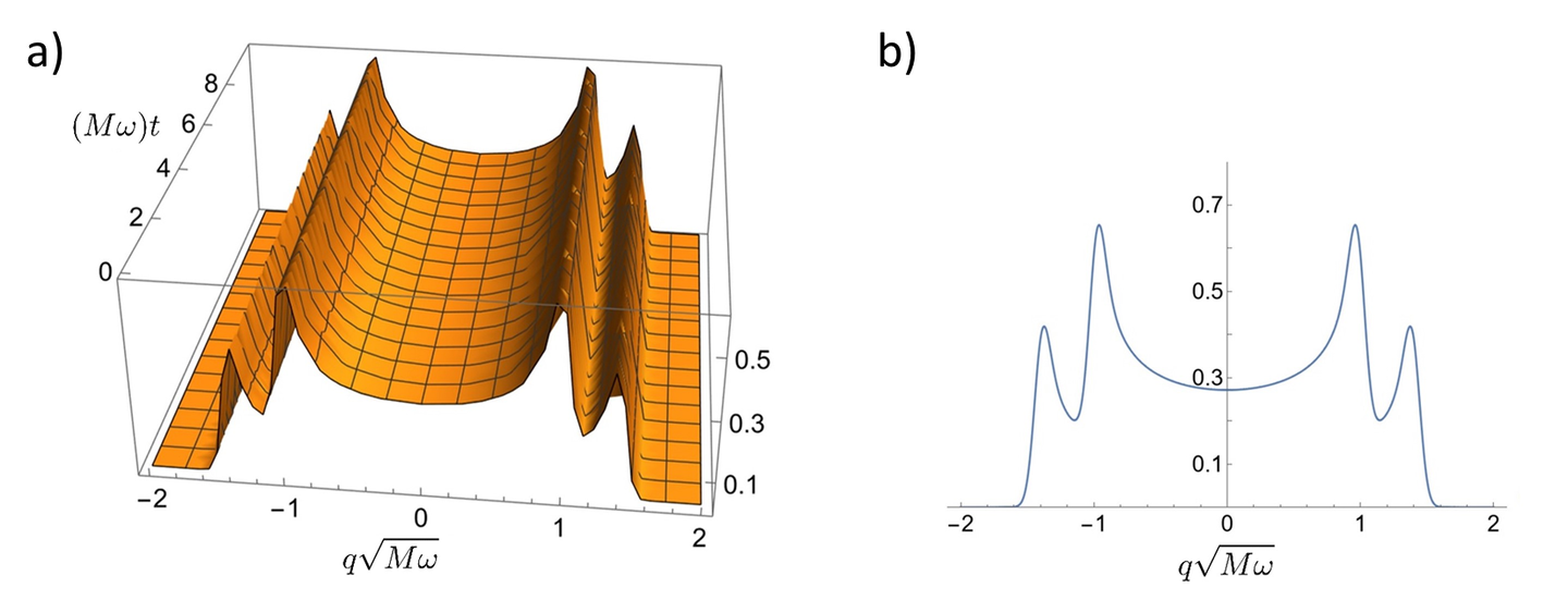
Graphical representation of the marginal probability distribution related to |β|2 w.r.t the space-time coordinates and b) its section at any constant time for the example with κ = 3/4 introduced in the main text. (CREDIT: Physical Review A)
Implications and Future Challenges
While this perspective is mathematically consistent, physicists remain cautious. Some researchers argue that, although the PaW mechanism offers an intriguing explanation, it lacks direct experimental validation.“Yes, it is mathematically consistent to think of universal time as the entanglement between quantum fields and quantum states of 3D space,” said Vlatko Vedral, a professor of quantum information science at the University of Oxford. “However, no one knows if anything new or fruitful will come out of this picture—such as modifications to quantum physics and general relativity, and corresponding experimental tests.”
Experimental evidence remains the ultimate test of this theory. To truly determine whether time emerges from entanglement, physicists will need to design experiments capable of measuring these effects in real-world systems.

The evolving system phase-space with the admitted orbits when cm= 0∀m and κ = 3/4, r = 2/3 for M = 20 (on the left) or M =50 (on the right). (CREDIT: Physical Review A)
Despite the uncertainties, some believe this approach could be a step toward a deeper understanding of time. Adam Frank, a theoretical physicist at the University of Rochester, suggests that time might only make sense when viewed from within a system, rather than as a detached, objective phenomenon. “Maybe the only way to understand time is not from some God’s-eye perspective, but from the inside, from a perspective of asking what is it about life that manifests such an appearance of the world,” he said.
If the concept of time as an emergent property proves correct, it could lead to breakthroughs in quantum gravity and even reshape our understanding of reality. However, until experiments confirm these ideas, time’s true nature remains one of physics’ greatest mysteries.
Note: Materials provided above by The Brighter Side of News. Content may be edited for style and length.
Despite the uncertainties, some believe this approach could be a step toward a deeper understanding of time. Adam Frank, a theoretical physicist at the University of Rochester, suggests that time might only make sense when viewed from within a system, rather than as a detached, objective phenomenon. “Maybe the only way to understand time is not from some God’s-eye perspective, but from the inside, from a perspective of asking what is it about life that manifests such an appearance of the world,” he said.
If the concept of time as an emergent property proves correct, it could lead to breakthroughs in quantum gravity and even reshape our understanding of reality. However, until experiments confirm these ideas, time’s true nature remains one of physics’ greatest mysteries.
Note: Materials provided above by The Brighter Side of News. Content may be edited for style and length.


No comments:
Post a Comment